單寧酸
鞣酸系由五倍子中得到的一種鞣質。為黃色或淡棕色輕質無晶性粉末或鱗片;無臭,微有特殊氣味,味極澀。溶于水及乙醇,易溶于甘油,幾乎不溶于乙醚、氯仿或苯。其水溶液與鐵鹽溶液相遇變藍黑色,加亞硫酸鈉可延緩變色。在工業上,鞣酸被大量應用于鞣革與制造藍墨水。鞣酸能使蛋白質凝固。人們把生豬皮、生牛皮用鞣酸進行化學處理,能使生皮中的可溶性蛋白質凝固。于是,本來放上幾天就會發臭腐爛的生皮,變成了漂亮、干凈、柔韌、經久耐用的皮革。這種制革工序,叫做皮革鞣制。
中文別名:鞣酸;丹寧酸;單寧;沒食子鞣酸;鞣質;落葉松栲膠;二倍酸;炭尼酸,柔酸 。
英文別名:Chinese tannin; Gallotannic acid; Gallotannin; Galloylglucose; Glycerite; Penta NM digalloyl glucose; Quebracho; Tannins; 1,3,6-tris-O-(3,4,5-trihydroxybenzoyl)hexopyranose; 1,2,3,4,6-pentakis-O-[(3,4-dihydroxy-5-{[(3,4,5-trihydroxyphenyl)carbonyl]oxy}phenyl)carbonyl]hexopyranose
化學式
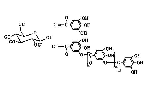
C76H52O46
分子質量
1701.20
性狀
淡黃色至淺棕色無定型粉末或松散有光澤的鱗片狀或海綿狀固體,暴露于空氣中能變黑。無臭,微有特殊氣味,具強烈的澀味,露置光和空氣中色變深。溶于水,易溶乙醇、丙酮和甘油,幾乎不溶于乙醚、苯、氯仿和石油醚。
熔點:210~215℃
閃點:187℃
儲存
避光保存適宜
用途
鈹、鋁、鎵、銦、鈮、鉭和鋯的沉淀和重量測定。銅、鐵、釩、鈰和鈷的比定測定。蛋白質及生物堿的沉淀劑。鉬酸銨滴定鉛時的外指示劑。染料媒染劑。
在工業上,鞣酸被大量應用于鞣革與制造藍墨水。鞣酸能使蛋白質凝固。人們把生豬皮、生牛皮用鞣酸進行化學處理,能使生皮中的可溶性蛋白質凝固。于是,本來放上幾天就會發臭腐爛的生皮,變成了漂亮、干凈、柔韌、經久耐用的皮革。
物化性質
可燃性物質。在210~215℃時熔融分解。閃點187℃。自燃點526.6℃。
存在于多種樹木(如橡樹和漆樹)的樹皮和果實中,也是這些樹木受昆蟲侵襲而生成的蟲癭中的主要成分, 含量50%~70%。又稱鞣酸、鞣質。黃色或棕黃色無定形松散粉末,在空氣中顏色逐漸變深;有強吸濕性;易溶于水、乙醇、丙酮;水溶液味澀;在210~215℃分解。
單寧酸不是單一的化合物,化學組成比較復雜,大致分為兩種:
① 縮合單寧酸,是黃烷醇衍生物,分子中黃烷醇的2位通過碳-碳鍵與兒茶酚或苯三酚結合;
② 可水解單寧酸,分子中具有酯鍵,是葡萄糖的沒食子酸酯。
后一種是常用的單寧酸。單寧酸的化學組分隨原料來源而異,由中國五倍子得到的單寧酸含葡萄糖約12%;由土耳其五倍子得到的單寧酸含葡萄糖約16.5%。單寧酸是止血劑。在醫藥上曾用于治療咽喉炎、扁桃腺炎、痔瘡和皮膚皰癥等,內用可制止腹瀉、腸出血等。單寧酸能與金屬、生物堿和糖苷(見苷)等生成沉淀,對這些物質具有解毒作用。單寧酸可用于鞣革、墨水制造、紙張和絲綢上膠、鍋爐除垢等,還可作媒染劑、啤酒和葡萄酒的澄明劑、橡膠的凝結劑等。單寧酸本身毒性很低。
為收斂劑,能沉淀蛋白質,與生物堿、甙及重金屬等均能形成不溶性復合物。
主要用于局部,其11%~20%軟膏用于滲出性潰瘍、燙傷、褥瘡、痔瘡、濕疹等,其15%~20%甘油溶液用于口腔炎、扁桃體炎與咽喉炎等,亦用于解毒,對去水嗎啡、士的年、洋地黃、鉛、銀、銅、鋅等中毒時,可用其溶液洗胃,現已用其他解毒藥代替;用于結腸造影時,于硫酸鋇灌腸劑中加入本品0.25~0.5%灌腸,用以清潔結腸,便于顯影。
鞣酸能抑制蛇毒蛋白的活性,對眼鏡蛇等毒素有很強的解毒作用(也可用于毒蛇咬傷時的傷口清洗)。口腔中的細菌分泌糖苷轉移酶,促進蔗糖合成不碚葡聚糖,細菌粘于牙齒表面。青柿子粉單寧能阻止細菌生長,抑制糖苷轉移酶的活性及糖苷的合成從而減少齲齒的形成。日本已經有相應的產品。
治療腸道細菌傳染病:如用作ADP酶抑制劑的RG單寧酸(大黃屬或其他植物)和其他抗菌藥聯合使用。 抑制突變 對防止UV誘發的皮膚癌和皮膚老化有效果。
毒性
本品低毒,小鼠經口LD50(半數致死量)為6000mg/kg。對胃部有較強慢性傷害,口服對胃粘膜有刺激性,可引起惡心、嘔吐;用于局部破損處,如大面積燒傷或加于硫酸鋇灌腸劑灌腸時,易吸收中毒,引起肝臟嚴重毒性,甚至死亡。
用法用量
外用:局部涂搽,每日2~3次。
注意事項
1、用于硫酸鋇灌腸時,加入本品量不超過1.5%,并不得在腸部存留(最多不超過30分鐘)。
2、不適用于大面積燒傷,以免吸收中毒。
3、本品與重金屬及蛋白質有配伍禁忌,故忌與鐵器接觸。
貯藏
避光,密閉保存。
醫用儲存:用塑料袋包裝,每袋250g。然后裝于木箱中,每箱凈重10kg。 應密封包裝,存放于陰涼、干燥通風處,注意防潮。按一般化學品規定貯運。
工業用:用內襯塑料袋,外套麻袋包裝,每袋凈重50kg。
制劑
鞣酸甘油(Glycerinrm Acidi Tan-nici):15%~20%。
鞣酸軟膏:見皮膚科用藥。
鞣酸蛋白:見消化系統用藥。
眾所周知,單寧酸是一種化學物質,化學組成復雜,具有極強的腐蝕性,雖然其本身毒性很小,但是如果長期使用,毒性滲入臉部甚至是體內,勢必會造成不可預知的后果。
請嘗嘗鞣酸的味道吧,澀得厲害。一些水果味兒澀,大半是與鞣酸分不開的。如,柿子的細胞里便有許多鞣酸。一吃澀柿子,嚼破了細胞膜,里頭的鞣酸便迸了出來,把你的舌頭澀的發麻。
純鞣酸是淡黃色的粉末,很容易溶解在水里。市場上賣的柿子,通常都是預先在石灰水里泡過或者在皮上抹了層石灰。因為石灰能使鞣酸凝固,變得不溶于水,這樣,鞣酸再也不會找舌頭的麻煩了,柿子也就不澀了。加熱,同樣也能使鞣酸凝固。所以,有些人喜歡用熱水泡柿子,一則去澀,一則除菌。
有時呢,梨、柿子即使你沒用鐵刀去切,皮上也會有一些黑色的斑點。這又是一場化學變化。因為鞣酸的分子中含有很多的酚羥基,對光很敏感,而且極易被氧化,變成黑色的氧化物。
鞣酸的另一個別名叫單寧酸。鞣酸的足跡遍布大自然,很多樹皮里都含有鞣酸。在我國的四川、云南一帶,有一種五倍子樹(也稱鹽膚木)上,長著一些瘤子——五倍子,五倍子里就含有大量的鞣酸。
茶葉中也含有鞣酸,也稱為單寧酸或茶單寧。是濃茶傷身的最主要物質。
茶能提神醒腦、促進消化。然而,飲茶過濃,就會傷身,尤其是老年人,一旦經常性地大量飲濃茶容易出現下列癥狀:
WGK Germany:2
危險類別碼:R40
安全說明:24/25-36-26-36/37/39-22
RTECS號:WW5075000
危險品標志:Xi: Irritant;
單寧酸
- 產品規格:
- 20mg 100mg 500mg 1g 1kg
- 產品數量:
- 1000
- 經營模式:
- 生產型, 服務型
- 執照認證:
- 未認證
- 最近更新:
- 2024/11/7 15:06:31
- 經營品牌:
- 道斯夫
簡介 單寧酸系由五倍子中得到的一種鞣質。為黃色或淡棕色輕質無晶性粉末或鱗片 中文名稱: 單寧酸 中文同義詞: 丹寧酸;單寧;單寧酸(藥用);二倍酸;楓香木;¥100元/瓶所在地:江蘇南京
南京道斯夫生物科技有限公司
單寧酸
- 產品規格:
- 25
- 產品數量:
- 2000
- 經營模式:
- 生產型, 貿易型
- 執照認證:
- 未認證
- 最近更新:
- 2024/11/4 13:39:01
- 經營品牌:
- 甘源
單寧酸(鞣花酸) 英文:tannicacid。cas:1401-55-4。 別名:鞣酸;丹寧酸五倍子單寧酸。 單寧分子式c76h52o46。對分¥85元/公斤元/袋裝所在地:上海上海
上海甘源實業有限公司
供應單寧酸生產廠家單寧酸價格多少單寧酸作用
- 產品規格:
- 25公斤/袋
- 產品數量:
- 70000
- 經營模式:
- 生產型
- 執照認證:
- 未認證
- 最近更新:
- 2025/2/24 14:28:16
- 經營品牌:
- 鴻祥
單寧酸用途,單寧酸用量,單寧酸生產廠家,單寧酸價格,單寧酸作用,單寧酸使用方法,單寧酸最新報價,供應單寧酸,食品級單寧酸,單寧酸cas,單寧酸添加量,單寧酸,單寧酸詳細說明¥82元/袋裝所在地:河南鄭州
鄭州鴻祥化工有限公司

湘公網安備 43052302000106號