手機號
未認證執照
王詠梅(女士)

普通會員
王詠梅 (女士)
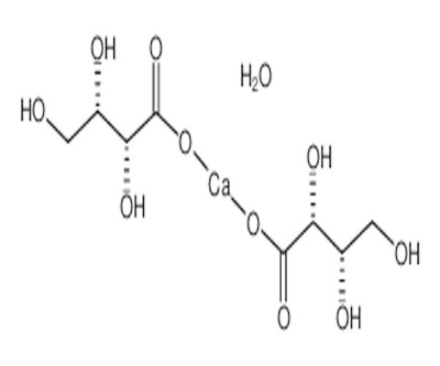
產品名稱:蘇糖酸 鈣
產品別名:l-蘇阿糖酸 鈣;l-蘇糖酸 鈣;蘇糠酸 鈣;l-蘇糖酸 半鈣鹽 ;(2r,3s)-2,3,4-三羥基丁酸 半鈣鹽 ;l-蘇阿糖酸 鈣鹽
英文名稱:calcium l-threonate
英文別名:l-threonic acid calcium salt;calcium (2r,3s)-2,3,4-trihydroxybutanoate
cas:70753-61-6
分子式:c8h14cao10
分子量:310.27
純度: 98%
外觀:白色粉 末
包裝:25公斤/桶
用途:膳食補充原料

| 聯系人 | 需求數量 | 時間 | 描述 |
|---|---|---|---|
| 暫無產品詢價記錄 | |||
| 采購商 | 成交單價(元) | 數量 | 成交時間 |
|---|---|---|---|
| 暫無購買記錄 | |||
地區:滄州
主營產品:機床維修,鑄件,工量具地區:三明
主營產品:木荷苗,楓香苗,油茶苗地區:成都
主營產品:電磁閥,氣缸,過濾器地區:武漢
主營產品:洪山公司注冊,洪山注冊公司,洪山代理記賬